SL Paper 2
Chlorine undergoes many reactions.
of manganese(IV) oxide was added to of .
Chlorine gas reacts with water to produce hypochlorous acid and hydrochloric acid.
is a common chlorofluorocarbon, .
State the full electron configuration of the chlorine atom.
State, giving a reason, whether the chlorine atom or the chloride ion has a larger radius.
Outline why the chlorine atom has a smaller atomic radius than the sulfur atom.
The mass spectrum of chlorine is shown.
NIST Mass Spectrometry Data Center Collection © 2014 copyright by the U.S. Secretary of Commerce on behalf of the United States of America. All rights reserved.
Outline the reason for the two peaks at and .
Explain the presence and relative abundance of the peak at .
Calculate the amount, in , of manganese(IV) oxide added.
Determine the limiting reactant, showing your calculations.
Determine the excess amount, in , of the other reactant.
Calculate the volume of chlorine, in , produced if the reaction is conducted at standard temperature and pressure (STP). Use section 2 of the data booklet.
State the oxidation state of manganese in and .
Deduce, referring to oxidation states, whether is an oxidizing or reducing agent.
Hypochlorous acid is considered a weak acid. Outline what is meant by the term weak acid.
State the formula of the conjugate base of hypochlorous acid.
Calculate the concentration of in a solution with a .
State the type of reaction occurring when ethane reacts with chlorine to produce chloroethane.
Predict, giving a reason, whether ethane or chloroethane is more reactive.
Write the equation for the reaction of chloroethane with a dilute aqueous solution of sodium hydroxide.
Deduce the nucleophile for the reaction in d(iii).
Ethoxyethane (diethyl ether) can be used as a solvent for this conversion. Draw the structural formula of ethoxyethane
Deduce the number of signals and their chemical shifts in the spectrum of ethoxyethane. Use section 27 of the data booklet.
Calculate the percentage by mass of chlorine in .
Comment on how international cooperation has contributed to the lowering of emissions responsible for ozone depletion.
Markscheme
✔
Do not accept condensed electron configuration.
AND more «electron–electron» repulsion ✔
Accept AND has an extra electron.
has a greater nuclear charge/number of protons/ «causing a stronger pull on the outer electrons» ✔
same number of shells
OR
same «outer» energy level
OR
similar shielding ✔
«two major» isotopes «of atomic mass and » ✔
«diatomic» molecule composed of «two» chlorine-37 atoms ✔
chlorine-37 is the least abundant «isotope»
OR
low probability of two «isotopes» occurring in a molecule ✔
✔
✔
AND is the limiting reactant ✔
Accept other valid methods of determining the limiting reactant in M2.
✔
✔
Accept methods employing .
✔
✔
oxidizing agent AND oxidation state of changes from to /decreases ✔
partially dissociates/ionizes «in water» ✔
✔
✔
«free radical» substitution/ ✔
Do not accept electrophilic or nucleophilic substitution.
chloroethane AND bond is weaker/ than bond/
OR
chloroethane AND contains a polar bond ✔
Accept “chloroethane AND polar”.
OR
✔
Accept use of and in the equation.
hydroxide «ion»/ ✔
Do not accept .
/ ✔
Accept .
«signals» ✔
AND ✔
Accept any values in the ranges.
Award [1 max] for two incorrect chemical shifts.
✔
✔
Award [2] for correct final answer.
Any of:
research «collaboration» for alternative technologies «to replace s»
OR
technologies «developed»/data could be shared
OR
political pressure/Montreal Protocol/governments passing legislations ✔
Do not accept just “collaboration”.
Do not accept any reference to as greenhouse gas or product of fossil fuel combustion.
Accept reference to specific measures, such as agreement on banning use/manufacture of s.
Examiners report
Most candidates wrote the electron configuration of chlorine correctly.
Only half of the candidates deduced that the chloride ion has a larger radius than the chlorine atom with a valid reason. Many candidates struggled with this question and decided that the extra electron in the chloride ion caused a greater attraction between the nucleus and the outer electrons.
Only about a third of the candidates identified the extra proton in the chlorine nucleus as the cause of the smaller atomic radius when compared to the sulfur atom, and only the stronger candidates also compared the shielding or the number of shells in the two atoms. Many candidates had a poor understanding of factors affecting atomic radius and could not explain the difference.
About 60% of the candidates recognized that the peaks at m/z 35 and 37 in the mass spectrum of chlorine are due to its isotopes. A few students wrote 'isomers' instead of 'isotopes'.
This was the lowest scoring question on the paper, that was also left blank by 10% of the candidates. About 20% of the candidates identified the peak at m/z = 74 to be due to a molecule made up of two 37Cl atoms. And only very few candidates commented that the low abundance of the peak was due to the low abundance of the 37Cl isotope. A common incorrect answer was that chlorine has an isotope of mass number 74.
Most candidates were able to determine the number of moles of MnO2 using the mass.
It was pleasing that the majority of the candidates were able to determine the limiting reactant by using the stoichiometric ratio.
Half of the candidates were able to determine the amount of excess reactant. Some candidates who determined the limiting reactant in the previous part correctly, forgot to use the stoichiometric ratio in this part, and ended up with incorrect answers.
60% of the candidates determined the volume of chlorine produced correctly. Some candidates made mistakes in the units when using PV = nRT and had a power of 10 error.
The majority of candidates were able to determine the oxidation states of Mn in the two compounds correctly.
Less than half of the candidates were awarded the mark. Some did identify MnO2 as the oxidizing agent but did not give the explanation in terms of oxidation state as required in the question. Other candidates did not have an understanding of oxidizing and reducing agents.
A very well answered question - 80% of candidates understood what is meant by the term weak acid. Incorrect answers included 'acids that have high pH'.
Half of the candidates deduced the formula of the conjugate base of hypochlorous acid. Incorrect answers included H2O and HCl.
A well answered question. It was pleasing to see that 70% of the candidates were able to calculate [H+] from the given pH.
More than half of the candidates identified the type of reaction between ethane and chlorine as a substitution reaction. A few candidates lost the marks for writing 'electrophilic substitution' or 'nucleophilic substitutions'.
This was a challenging question that was answered correctly by only 30% of the candidates. A variety of incorrect answers were seen such as 'chlorine is a halogen and hence it is reactive', and 'ethane is more reactive because it is an alkane'. For students who answered correctly, the polarity was the most frequently given reason.
Half of the candidates wrote the correct equation for the hydrolysis of chloroethane. Incorrect answers often included carbon dioxide and water as the products.
This was a highly discriminating question. Only 30% of the candidates were able to identify the hydroxide ion as the nucleophile in the hydrolysis of chloroethane. Incorrect answers included NaOH where the ion was not specified. 14% of the candidates left this question blank.
Half of the candidates were able to give the structural formula of ethoxyethane. Incorrect answers included methoxymethane, ketones and esters.
Nearly half of the candidates were able to identify the number of signals obtained in the 1H NMR spectrum of ethoxyethane, obtaining the first mark of this question. Many candidates were awarded the mark as 'error carried forward' from an incorrect structure of ethoxyethane. The second mark for this question required candidates to look up values of chemical shift from the data booklet. Nearly a third of the candidates were able to match the chemical environments of the hydrogen atoms in ethoxyethane to those listed in the data booklet successfully.
This was the highest scoring question in the paper. The majority of candidates were able to calculate the percentage by mass of chlorine in CCl2F2. Mistakes included incorrect rounding and arithmetic errors.
This nature of science question was well answered by half of the candidates. Some teachers commented that the wording was rather vague. Incorrect answers were mainly assuming that CFCs were related to the combustion of fuels and greenhouse gas emissions.
This question is about carbon and chlorine compounds.
Ethane, C2H6, reacts with chlorine in sunlight. State the type of this reaction and the name of the mechanism by which it occurs.
Formulate equations for the two propagation steps and one termination step in the formation of chloroethane from ethane.
One possible product, X, of the reaction of ethane with chlorine has the following composition by mass:
carbon: 24.27%, hydrogen: 4.08%, chlorine: 71.65%
Determine the empirical formula of the product.
The mass and 1HNMR spectra of product X are shown below. Deduce, giving your reasons, its structural formula and hence the name of the compound.
Chloroethene, C2H3Cl, can undergo polymerization. Draw a section of the polymer with three repeating units.
Markscheme
substitution AND «free-»radical
OR
substitution AND chain
Award [1] for “«free-»radical substitution” or “SR” written anywhere in the answer.
[1 mark]
Two propagation steps:
C2H6 + •Cl → C2H5• + HCl
C2H5• + Cl2 → C2H5Cl + •Cl
One termination step:
C2H5• + C2H5• → C4H10
OR
C2H5• + •Cl → C2H5Cl
OR
•Cl + •Cl → Cl2
Accept radical without • if consistent throughout.
Allow ECF from incorrect radicals produced in propagation step for M3.
[3 marks]
= 2.021 AND = 4.04 AND
«hence» CH2Cl
Accept : :
Do not accept C2H4Cl2.
Award [2] for correct final answer.
[2 marks]
molecular ion peak(s) «about» m/z 100 AND «so» C2H4Cl2 «isotopes of Cl»
two signals «in 1HNMR spectrum» AND «so» CH3CHCl2
OR
«signals in» 3:1 ratio «in 1HNMR spectrum» AND «so» CH3CHCl2
OR
one doublet and one quartet «in 1HNMR spectrum» AND «so» CH3CHCl2
1,1-dichloroethane
Accept “peaks” for “signals”.
Allow ECF for a correct name for M3 if an incorrect chlorohydrocarbon is identified
[3 marks]
Continuation bonds must be shown.
Ignore square brackets and “n”.
Accept
.
Accept other versions of the polymer, such as head to head and head to tail.
Accept condensed structure provided all C to C bonds are shown (as single).
[1 mark]
Examiners report
The rate of the acid-catalysed iodination of propanone can be followed by measuring how the concentration of iodine changes with time.
I2(aq) + CH3COCH3(aq) → CH3COCH2I(aq) + H+(aq) + I−(aq)
Suggest how the change of iodine concentration could be followed.
A student produced these results with [H+] = 0.15 moldm−3. Propanone and acid were in excess and iodine was the limiting reagent.
Determine the relative rate of reaction when [H+] = 0.15 moldm−3.

The student then carried out the experiment at other acid concentrations with all other conditions remaining unchanged.
State and explain the relationship between the rate of reaction and the concentration of acid.
Markscheme
use a colorimeter/monitor the change in colour
OR
take samples AND quench AND titrate «with thiosulfate»
Accept change in pH.
Accept change in conductivity.
Accept other suitable methods.
Method must imply “change”.
[1 mark]

best fit line
relative rate of reaction = « =» 0.0074/7.4 x 10−3
Best fit line required for M1.
M2 is independent of M1.
Accept range from 0.0070 to 0.0080.
[2 marks]
Relationship:
rate of reaction is «directly» proportional to [H+]
OR
rate of reaction [H+]
Explanation:
more frequent collisions/more collisions per unit of time «at greater concentration»
Accept "doubling the concentration doubles the rate".
Do not accept “rate increases as concentration increases”.
Do not accept collisions more likely.
[2 marks]
Examiners report
There are many oxides of silver with the formula AgxOy. All of them decompose into their elements when heated strongly.
After heating 3.760 g of a silver oxide 3.275 g of silver remained. Determine the empirical formula of AgxOy.
Suggest why the final mass of solid obtained by heating 3.760 g of AgxOy may be greater than 3.275 g giving one design improvement for your proposed suggestion. Ignore any possible errors in the weighing procedure.
Naturally occurring silver is composed of two stable isotopes, 107Ag and 109Ag.
The relative atomic mass of silver is 107.87. Show that isotope 107Ag is more abundant.
Some oxides of period 3, such as Na2O and P4O10, react with water. A spatula measure of each oxide was added to a separate 100 cm3 flask containing distilled water and a few drops of bromothymol blue indicator.
The indicator is listed in section 22 of the data booklet.
Deduce the colour of the resulting solution and the chemical formula of the product formed after reaction with water for each oxide.
Explain the electrical conductivity of molten Na2O and P4O10.
Outline the model of electron configuration deduced from the hydrogen line emission spectrum (Bohr’s model).
Markscheme
n(Ag) = «» 0.03036 «mol»
AND
n(O) = «» 0.03031 «mol»
« / ratio of Ag to O approximately 1 : 1, so»
AgO
Accept other valid methods for M1.
Award [1 max] for correct empirical formula if method not shown.
[2 marks]
temperature too low
OR
heating time too short
OR
oxide not decomposed completely
heat sample to constant mass «for three or more trials»
Accept “not heated strongly enough”.
If M1 as per markscheme, M2 can only be awarded for constant mass technique.
Accept "soot deposition" (M1) and any suitable way to reduce it (for M2).
Accept "absorbs moisture from atmosphere" (M1) and "cool in dessicator" (M2).
Award [1 max] for reference to impurity AND design improvement.
[2 marks]
Ar closer to 107/less than 108 «so more 107Ag»
OR
Ar less than the average of (107 + 109) «so more 107Ag»
Accept calculations that gives greater than 50% 107Ag.
[1 mark]
Do not accept name for the products.
Accept “Na+ + OH–” for NaOH.
Ignore coefficients in front of formula.
[3 marks]
«molten» Na2O has mobile ions/charged particles AND conducts electricity
«molten» P4O10 does not have mobile ions/charged particles AND does not conduct electricity/is poor conductor of electricity
Do not award marks without concept of mobile charges being present.
Award [1 max] if type of bonding or electrical conductivity correctly identified in each compound.
Do not accept answers based on electrons.
Award [1 max] if reference made to solution.
[2 marks]
electrons in discrete/specific/certain/different shells/energy levels
energy levels converge/get closer together at higher energies
OR
energy levels converge with distance from the nucleus
Accept appropriate diagram for M1, M2 or both.
Do not give marks for answers that refer to the lines in the spectrum.
[2 marks]
Examiners report
The reactivity of organic compounds depends on the nature and positions of their functional groups.
The structural formulas of two organic compounds are shown below.
Deduce the type of chemical reaction and the reagents used to distinguish between these compounds.
State the observation expected for each reaction giving your reasons.
Deduce the number of signals and the ratio of areas under the signals in the 1H NMR spectra of the two compounds.
Explain, with the help of equations, the mechanism of the free-radical substitution reaction of ethane with bromine in presence of sunlight.
Markscheme
oxidation/redox AND acidified «potassium» dichromate(VI)
OR
oxidation/redox AND «acidified potassium» manganate(VII)
Accept “acidified «potassium» dichromate” OR “«acidified potassium» permanganate”.
Accept name or formula of the reagent(s).
ALTERNATIVE 1 using K2Cr2O7:
Compound A: orange to green AND secondary hydroxyl
OR
Compound A: orange to green AND hydroxyl oxidized «by chromium(VI) ions»
Compound B: no change AND tertiary hydroxyl «not oxidized by chromium(VI) ions»
Award [1] for “A: orange to green AND B: no change”.
Award [1] for “A: secondary hydroxyl AND B: tertiary hydroxyl”.
ALTERNATIVE 2 using KMnO4:
Compound A: purple to colourless AND secondary hydroxyl
OR
Compound A: purple to colourless AND hydroxyl oxidized «by manganese(VII) ions»
Compound B: no change AND tertiary hydroxyl «not oxidized by manganese(VII) ions»
Accept “alcohol” for “hydroxyl”.
Award [1] for “A: purple to colourless AND B: no change”
Award [1] for “A: secondary hydroxyl AND B: tertiary hydroxyl”.
Accept “purple to brown” for A.
Accept ratio of areas in any order.
Do not apply ECF for ratios.
Initiation:
Br2 2Br•
Propagation:
Br• + C2H6 → C2H5• + HBr
C2H5• + Br2 → C2H5Br + Br•
Termination:
Br• + Br• → Br2
OR
C2H5• + Br• → C2H5Br
OR
C2H5• + C2H5• → C4H10
Reference to UV/hν/heat not required.
Accept representation of radical without • (eg, Br, C2H5) if consistent throughout mechanism.
Accept further bromination.
Award [3 max] if initiation, propagation and termination are not stated or are incorrectly labelled for equations.
Award [3 max] if methane is used instead of ethane, and/or chlorine is used instead of bromine.
Examiners report
A student titrated an ethanoic acid solution, CH3COOH (aq), against 50.0 cm3 of 0.995 mol dm–3 sodium hydroxide, NaOH (aq), to determine its concentration.
The temperature of the reaction mixture was measured after each acid addition and plotted against the volume of acid.
Curves X and Y were obtained when a metal carbonate reacted with the same volume of ethanoic acid under two different conditions.
Using the graph, estimate the initial temperature of the solution.
Determine the maximum temperature reached in the experiment by analysing the graph.
Calculate the concentration of ethanoic acid, CH3COOH, in mol dm–3.
Determine the heat change, q, in kJ, for the neutralization reaction between ethanoic acid and sodium hydroxide.
Assume the specific heat capacities of the solutions and their densities are those of water.
Calculate the enthalpy change, ΔH, in kJ mol–1, for the reaction between ethanoic acid and sodium hydroxide.
Explain the shape of curve X in terms of the collision theory.
Suggest one possible reason for the differences between curves X and Y.
Markscheme
21.4 °C
Accept values in the range of 21.2 to 21.6 °C.
29.0 «°C»
Accept range 28.8 to 29.2 °C.
ALTERNATIVE 1
«volume CH3COOH =» 26.0 «cm3»
«[CH3COOH] = 0.995 mol dm–3 \( \times \frac{{50.0\,{\text{cm3}}}}{{26.0\,{\text{cm3}}}} = \)» 1.91 «mol dm−3»
ALTERNATIVE 2
«n(NaOH) =0.995 mol dm–3 x 0.0500 dm3 =» 0.04975 «mol»
«[CH3COOH] = dm3 =» 1.91 «mol dm–3»
Accept values of volume in range 25.5 to 26.5 cm3.
Award [2] for correct final answer.
«total volume = 50.0 + 26.0 =» 76.0 cm3 AND «temperature change 29.0 – 21.4 =» 7.6 «°C»
«q = 0.0760 kg x 4.18 kJ kg–1 K–1 x 7.6 K =» 2.4 «kJ»
Award [2] for correct final answer.
«n(NaOH) = 0.995 mol dm–3 x 0.0500 dm3 =» 0.04975 «mol»
OR
«n(CH3COOH) = 1.91 mol dm–3 x 0.0260 dm3 =» 0.04966 «mol»
«ΔH = » –48 / –49 «kJ mol–1»
Award [2] for correct final answer.
Negative sign is required for M2.
«initially steep because» greatest concentration/number of particles at start
OR
«slope decreases because» concentration/number of particles decreases
volume produced per unit of time depends on frequency of collisions
OR
rate depends on frequency of collisions
mass/amount/concentration of metal carbonate more in X
OR
concentration/amount of CH3COOH more in X
Examiners report
The structure of an organic molecule can help predict the type of reaction it can undergo.
Improvements in instrumentation have made identification of organic compounds routine.
The empirical formula of an unknown compound containing a phenyl group was found to be C4H4O. The molecular ion peak in its mass spectrum appears at m/z = 136.
The Kekulé structure of benzene suggests it should readily undergo addition reactions.

Discuss two pieces of evidence, one physical and one chemical, which suggest this is not the structure of benzene.
Formulate the ionic equation for the oxidation of propan-1-ol to the corresponding aldehyde by acidified dichromate(VI) ions. Use section 24 of the data booklet.
The aldehyde can be further oxidized to a carboxylic acid.
Outline how the experimental procedures differ for the synthesis of the aldehyde and the carboxylic acid.
Deduce the molecular formula of the compound.
Identify the bonds causing peaks A and B in the IR spectrum of the unknown compound using section 26 of the data booklet.

Deduce full structural formulas of two possible isomers of the unknown compound, both of which are esters.
Deduce the formula of the unknown compound based on its 1H NMR spectrum using section 27 of the data booklet.

Markscheme
Physical evidence:
equal C–C bond «lengths/strengths»
OR
regular hexagon
OR
«all» C–C have bond order of 1.5
OR
«all» C–C intermediate between single and double bonds
Chemical evidence:
undergoes substitution reaction «more readily than addition»
OR
does not discolour/react with bromine water
OR
substitution forms only one isomer for 1,2-disubstitution «presence of alternate double bonds would form two isomers»
OR
more stable than expected «compared to hypothetical molecule cyclohexa-1,3,5-triene»
OR
enthalpy change of hydrogenation/combustion is less exothermic than predicted «for cyclohexa-1,3,5-triene»
M1:
Accept “all C–C–C bond angles are equal”.
[2 marks]
3CH3CH2CH2OH(l) + Cr2O72–(aq) + 8H+(aq) → 3CH3CH2CHO(aq) + 2Cr3+(aq) + 7H2O(l)
correct reactants and products
balanced equation
[2 marks]
Aldehyde:
by distillation «removed from reaction mixture as soon as formed»
Carboxylic acid:
«heat mixture under» reflux «to achieve complete oxidation to –COOH»
Accept clear diagrams or descriptions of the processes.
[2 marks]
«»
C8H8O2
[1 mark]
A: C–H «in alkanes, alkenes, arenes»
AND
B: C=O «in aldehydes, ketones, carboxylic acids and esters»
[1 mark]
Any two of:
OR C6H5COOCH3
OR CH3COOC6H5
OR HCOOCH2C6H5
Do not penalize use of Kekule structures for the phenyl group.
Accept the following structures:

Award [1 max] for two correct aliphatic/linear esters with the molecular formula C8H8O2.
[2 marks]
C6H5COOCH3 «signal at 4 ppm (3.7 – 4.8 range in data table) due to alkyl group on ester
[1 mark]
Examiners report
Urea, (H2N)2CO, is excreted by mammals and can be used as a fertilizer.
Calculate the percentage by mass of nitrogen in urea to two decimal places using section 6 of the data booklet.
Suggest how the percentage of nitrogen affects the cost of transport of fertilizers giving a reason.
The structural formula of urea is shown.

Predict the electron domain and molecular geometries at the nitrogen and carbon atoms, applying the VSEPR theory.

Urea can be made by reacting potassium cyanate, KNCO, with ammonium chloride, NH4Cl.
KNCO(aq) + NH4Cl(aq) → (H2N)2CO(aq) + KCl(aq)
Determine the maximum mass of urea that could be formed from 50.0 cm3 of 0.100 mol dm−3 potassium cyanate solution.
Urea can also be made by the direct combination of ammonia and carbon dioxide gases.
2NH3(g) + CO2(g) (H2N)2CO(g) + H2O(g) ΔH < 0
Predict, with a reason, the effect on the equilibrium constant, Kc, when the temperature is increased.
Suggest one reason why urea is a solid and ammonia a gas at room temperature.
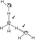
Sketch two different hydrogen bonding interactions between ammonia and water.
The combustion of urea produces water, carbon dioxide and nitrogen.
Formulate a balanced equation for the reaction.
The mass spectrum of urea is shown below.

Identify the species responsible for the peaks at m/z = 60 and 44.
The IR spectrum of urea is shown below.

Identify the bonds causing the absorptions at 3450 cm−1 and 1700 cm−1 using section 26 of the data booklet.
Predict the number of signals in the 1H NMR spectrum of urea.
Markscheme
molar mass of urea «= 4 × 1.01 + 2 × 14.01 + 12.01 + 16.00» = 60.07 «g mol–1»
«% nitrogen = × 100 =» 46.65 «%»
Award [2] for correct final answer.
Award [1 max] for final answer not to two decimal places.
[2 marks]
«cost» increases AND lower N% «means higher cost of transportation per unit of nitrogen»
OR
«cost» increases AND inefficient/too much/about half mass not nitrogen
Accept other reasonable explanations.
Do not accept answers referring to safety/explosions.
[1 mark]

Note: Urea’s structure is more complex than that predicted from VSEPR theory.
[3 marks]
n(KNCO) «= 0.0500 dm3 × 0.100 mol dm–3» = 5.00 × 10–3 «mol»
«mass of urea = 5.00 × 10–3 mol × 60.07 g mol–1» = 0.300 «g»
Award [2] for correct final answer.
[2 marks]
«Kc» decreases AND reaction is exothermic
OR
«Kc» decreases AND ΔH is negative
OR
«Kc» decreases AND reverse/endothermic reaction is favoured
[1 mark]
Any one of:
urea has greater molar mass
urea has greater electron density/greater London/dispersion
urea has more hydrogen bonding
urea is more polar/has greater dipole moment
Accept “urea has larger size/greater van der Waals forces”.
Do not accept “urea has greater intermolecular forces/IMF”.
[1 mark]

Award [1] for each correct interaction.
If lone pairs are shown on N or O, then the lone pair on N or one of the lone pairs on O MUST be involved in the H-bond.
Penalize solid line to represent H-bonding only once.
[2 marks]
2(H2N)2CO(s) + 3O2(g) → 4H2O(l) + 2CO2(g) + 2N2(g)
correct coefficients on LHS
correct coefficients on RHS
Accept (H2N)2CO(s) + O2(g) → 2H2O(l) + CO2(g) + N2(g).
Accept any correct ratio.
[2 marks]
60: CON2H4+
44: CONH2+
Accept “molecular ion”.
[2 marks]
3450 cm–1: N–H
1700 cm–1: C=O
Do not accept “O–H” for 3450 cm–1.
[2 marks]
1
[1 mark]
Examiners report
Ethanol is obtained by the hydration of ethene, C2H4.
State the class of compound to which ethene belongs.
State the molecular formula of the next member of the homologous series to which ethene belongs.
Justify why ethene has only a single signal in its 1H NMR spectrum.
Suggest two possible products of the incomplete combustion of ethene that would not be formed by complete combustion.
A white solid was formed when ethene was subjected to high pressure.
Deduce the type of reaction that occurred.
Markscheme
alkene ✔
C3H6 ✔
Accept structural formula.
hydrogen atoms/protons in same chemical environment ✔
Accept “all H atoms/protons are equivalent”.
Accept “symmetrical”
carbon monoxide/CO AND carbon/C/soot ✔
«addition» polymerization ✔
Examiners report
Organic chemistry can be used to synthesize a variety of products.
Combustion analysis of an unknown organic compound indicated that it contained only carbon, hydrogen and oxygen.
Several compounds can be synthesized from but-2-ene. Draw the structure of the final product for each of the following chemical reactions.
Determine the change in enthalpy, ΔH, for the combustion of but-2-ene, using section 11 of the data booklet.
CH3CH=CHCH3 (g) + 6O2 (g) → 4CO2 (g) + 4H2O (g)
Write the equation and name the organic product when ethanol reacts with methanoic acid.
Oxidation of ethanol with potassium dichromate, K2Cr2O7, can form two different organic products. Determine the names of the organic products and the methods used to isolate them.
Deduce two features of this molecule that can be obtained from the mass spectrum. Use section 28 of the data booklet.
NIST Mass Spectrometry Data Center Collection © 2014 copyright by the U.S. Secretary of Commerce
on behalf of the United States of America. All rights reserved.
Identify the bond responsible for the absorption at A in the infrared spectrum. Use section 26 of the data booklet.
NIST Mass Spectrometry Data Center Collection © 2014 copyright by the U.S. Secretary of Commerce
on behalf of the United States of America. All rights reserved.
Deduce the identity of the unknown compound using the previous information, the 1H NMR spectrum and section 27 of the data booklet.
SDBS, National Institute of Advanced Industrial Science and Technology (AIST).
Markscheme
Penalize missing hydrogens in displayed structural formulas once only.
Accept condensed structural formulas: CH3CH(OH)CH2CH3 / CH3CH2CH2CH3 or skeletal structures.
Bonds broken:
2(C–C) + 1(C=C) + 8(C–H) + 6O=O / 2(346) + 1(614) + 8(414) + 6(498) / 7606 «kJ» ✓
Bonds formed:
8(C=O) + 8(O–H) / 8(804) + 8(463) / 10 136 «kJ» ✓
Enthalpy change:
«Bonds broken – Bonds formed = 7606 kJ – 10 136 kJ =» –2530 «kJ» ✓
Award [2 max] for «+» 2530 «kJ».
Award [3] for correct final answer.
Equation:
CH3CH2OH + HCOOH HCOOCH2CH3 + H2O ✓
Product name:
ethyl methanoate ✓
Accept equation without equilibrium arrows.
Accept equation with molecular formulas (C2H6O + CH2O2 C3H6O2 + H2O) only if product name is correct.
ethanal AND distillation ✓
ethanoic acid AND reflux «followed by distillation» ✓
Award [1 max] for both products OR both methods.
m/z 58:
molar/«relative» molecular mass/weight/Mr «is 58 g mol−1/58» ✓
m/z 43:
«loses» methyl/CH3 «fragment»
OR
COCH3+ «fragment» ✓
Do not penalize missing charge on the fragments.
Accept molecular ion «peak»/ CH3COCH3+/C3H6O+.
Accept any C2H3O+ fragment/ CH3CH2CH2+/C3H7+.
C=O ✓
Accept carbonyl/C=C.
Information deduced from 1H NMR:
«one signal indicates» one hydrogen environment/symmetrical structure
OR
«chemical shift of 2.2 indicates» H on C next to carbonyl ✓
Compound:
propanone/CH3COCH3 ✓
Accept “one type of hydrogen”.
Accept .
Examiners report
3.26 g of iron powder are added to 80.0 cm3 of 0.200 mol dm−3 copper(II) sulfate solution. The following reaction occurs:
Fe (s) + CuSO4 (aq) → FeSO4 (aq) + Cu (s)
Determine the limiting reactant showing your working.
The mass of copper obtained experimentally was 0.872 g. Calculate the percentage yield of copper.
The reaction was carried out in a calorimeter. The maximum temperature rise of the solution was 7.5 °C.
Calculate the enthalpy change, ΔH, of the reaction, in kJ, assuming that all the heat released was absorbed by the solution. Use sections 1 and 2 of the data booklet.
State another assumption you made in (b)(i).
The only significant uncertainty is in the temperature measurement.
Determine the absolute uncertainty in the calculated value of ΔH if the uncertainty in the temperature rise was ±0.2 °C.
Sketch a graph of the concentration of iron(II) sulfate, FeSO4, against time as the reaction proceeds.
Outline how the initial rate of reaction can be determined from the graph in part (c)(i).
Explain, using the collision theory, why replacing the iron powder with a piece of iron of the same mass slows down the rate of the reaction.
Markscheme
nCuSO4 «= 0.0800 dm3 × 0.200 mol dm–3» = 0.0160 mol AND
nFe «» = 0.0584 mol ✔
CuSO4 is the limiting reactant ✔
Do not award M2 if mole calculation is not shown.
ALTERNATIVE 1:
«0.0160 mol × 63.55 g mol–1 =» 1.02 «g» ✔
«» 85.5 «%» ✔
ALTERNATIVE 2:
«» 0.0137 «mol» ✔
«» 85.6 «%» ✔
Accept answers in the range 85–86 %.
Award [2] for correct final answer.
ALTERNATIVE 1:
q = «80.0 g × 4.18 J g–1 K–1 × 7.5 K =» 2.5 × 103 «J»/2.5 «kJ» ✔
«per mol of CuSO4 = kJ mol–1»
«for the reaction» ΔH = –1.6 × 102 «kJ» ✔
ALTERNATIVE 2:
q = «80.0 g × 4.18 J g–1 K–1 × 7.5 K =» 2.5 × 103 «J»/2.5 «kJ» ✔
«nCu = = 0.0137 mol»
«per mol of CuSO4 = kJ mol–1»
«for the reaction» ΔH = –1.8 × 102 «kJ» ✔
Award [2] for correct final answer.
density «of solution» is 1.00 g cm−3
OR
specific heat capacity «of solution» is 4.18 J g−1 K−1/that of «pure» water
OR
reaction goes to completion
OR
iron/CuSO4 does not react with other substances ✔
The mark for “reaction goes to completion” can only be awarded if 0.0160 mol was used in part (b)(i).
Do not accept “heat loss”.
ALTERNATIVE 1:
«» 3 %/0.03 ✔
«0.03 × 160 kJ» = «±» 5 «kJ» ✔
ALTERNATIVE 2:
«» 3 %/0.03 ✔
«0.03 × 180 kJ» = «±» 5 «kJ» ✔
Accept values in the range 4.1–5.5 «kJ».
Award [2] for correct final answer.
initial concentration is zero AND concentration increases with time ✔
decreasing gradient as reaction proceeds ✔
«draw a» tangent to the curve at time = 0 ✔
«rate equals» gradient/slope «of the tangent» ✔
Accept suitable diagram.
piece has smaller surface area ✔
lower frequency of collisions
OR
fewer collisions per second/unit time ✔
Accept “chance/probability” instead of “frequency”.
Do not accept just “fewer collisions”.
Examiners report
When heated in air, magnesium ribbon reacts with oxygen to form magnesium oxide.
The reaction in (a)(i) was carried out in a crucible with a lid and the following data was recorded:
Mass of crucible and lid = 47.372 ±0.001 g
Mass of crucible, lid and magnesium ribbon before heating = 53.726 ±0.001 g
Mass of crucible, lid and product after heating = 56.941 ±0.001 g
When magnesium is burnt in air, some of it reacts with nitrogen to form magnesium nitride according to the equation:
3 Mg (s) + N2 (g) → Mg3N2 (s)
The presence of magnesium nitride can be demonstrated by adding water to the product. It is hydrolysed to form magnesium hydroxide and ammonia.
Most nitride ions are 14N3–.
Write a balanced equation for the reaction that occurs.
State the block of the periodic table in which magnesium is located.
Identify a metal, in the same period as magnesium, that does not form a basic oxide.
Calculate the amount of magnesium, in mol, that was used.
Determine the percentage uncertainty of the mass of product after heating.
Assume the reaction in (a)(i) is the only one occurring and it goes to completion, but some product has been lost from the crucible. Deduce the percentage yield of magnesium oxide in the crucible.
Evaluate whether this, rather than the loss of product, could explain the yield found in (b)(iii).
Suggest an explanation, other than product being lost from the crucible or reacting with nitrogen, that could explain the yield found in (b)(iii).
Calculate coefficients that balance the equation for the following reaction.
__ Mg3N2 (s) + __ H2O (l) → __ Mg(OH)2 (s) + __ NH3 (aq)
Determine the oxidation state of nitrogen in Mg3N2 and in NH3.
Deduce, giving reasons, whether the reaction of magnesium nitride with water is an acid–base reaction, a redox reaction, neither or both.
State the number of subatomic particles in this ion.
Some nitride ions are 15N3–. State the term that describes the relationship between 14N3– and 15N3–.
The nitride ion and the magnesium ion are isoelectronic (they have the same electron configuration). Determine, giving a reason, which has the greater ionic radius.
Suggest two reasons why atoms are no longer regarded as the indivisible units of matter.
State the types of bonding in magnesium, oxygen and magnesium oxide, and how the valence electrons produce these types of bonding.
Markscheme
2 Mg(s) + O2(g) → 2 MgO(s) ✔
Do not accept equilibrium arrows. Ignore state symbols
s ✔
Do not allow group 2
aluminium/Al ✔
«mol» ✔
mass of product ✔
✔
Award [2] for correct final answer
Accept 0.021%
✔
✔
Award «0.2614 mol x 40.31 g mol–1»
Accept alternative methods to arrive at the correct answer.
Accept final answers in the range 91-92%
[2] for correct final answer.
yes
AND
«each Mg combines with N, so» mass increase would be 14x which is less than expected increase of 16x
OR
3 mol Mg would form 101g of Mg3N2 but would form 3 x MgO = 121 g of MgO
OR
0.2614 mol forms 10.536 g of MgO, but would form 8.796 g of Mg3N2 ✔
Accept Yes AND “the mass of N/N2 that combines with each g/mole of Mg is lower than that of O/O2”
Accept YES AND “molar mass of nitrogen less than of oxygen”.
incomplete reaction
OR
Mg was partially oxidised already
OR
impurity present that evaporated/did not react ✔
Accept “crucible weighed before fully cooled”.
Accept answers relating to a higher atomic mass impurity consuming less O/O2.
Accept “non-stoichiometric compounds formed”.
Do not accept "human error", "wrongly calibrated balance" or other non-chemical reasons.
If answer to (b)(iii) is >100%, accept appropriate reasons, such as product absorbed moisture before being weighed.
«1» Mg3N2 (s) + 6 H2O (l) → 3 Mg(OH)2 (s) + 2 NH3 (aq)
Mg3N2: -3
AND
NH3: -3 ✔
Do not accept 3 or 3-
Acid–base:
yes AND N3- accepts H+/donates electron pair«s»
OR
yes AND H2O loses H+ «to form OH-»/accepts electron pair«s» ✔
Redox:
no AND no oxidation states change ✔
Accept “yes AND proton transfer takes place”
Accept reference to the oxidation state of specific elements not changing.
Accept “not redox as no electrons gained/lost”.
Award [1 max] for Acid–base: yes AND Redox: no without correct reasons, if no other mark has been awarded
Protons: 7 AND Neutrons: 7 AND Electrons: 10 ✔
isotope«s» ✔
nitride AND smaller nuclear charge/number of protons/atomic number ✔
Any two of:
subatomic particles «discovered»
OR
particles smaller/with masses less than atoms «discovered»
OR
«existence of» isotopes «same number of protons, different number of neutrons» ✔
charged particles obtained from «neutral» atoms
OR
atoms can gain or lose electrons «and become charged» ✔
atom «discovered» to have structure ✔
fission
OR
atoms can be split ✔
Accept atoms can undergo fusion «to produce heavier atoms»
Accept specific examples of particles.
Award [2] for “atom shown to have a nucleus with electrons around it” as both M1 and M3.
Award [1] for all bonding types correct.
Award [1] for each correct description.
Apply ECF for M2 only once.
Examiners report
This was not as well done as one might have expected with the most common errors being O instead of O2 oxygen and MgO rather than MgO2.
Many students did not know what "block" meant, and often guessed group 2 etc.
Many students confused "period" and "group" and also many did not read metal, so aluminium was not chosen by the majority.
A number of students were not able to interpret the results and hence find the gain in mass and calculate the moles correctly.
Only a handful could work out the correct answer. Most had no real idea and quite a lot of blank responses. There also seems to be significant confusion between "percent uncertainty" and "percent error".
This was not well answered, but definitely better than the previous question with quite a few gaining some credit for correctly determining the theoretical yield.
This proved to be a very difficult question to answer in the quantitative manner required, with hardly any correct responses.
Quite a few students realised that incomplete reaction would lead to this, but only 30% of students gave a correct answer rather than a non-specific guess, such as "misread balance" or "impurities".
This was generally very well done with almost all candidates being able to determine the correct coefficients.
About 40% of students managed to correctly determine both the oxidation states, as -3, with errors being about equally divided between the two compounds.
Probably only about 10% could explain why this was an acid-base reaction. Rather more made valid deductions about redox, based on their answer to the previous question.
Most candidates could answer the question about subatomic particles correctly.
Identification of isotopes was answered correctly by most students.
In spite of being given the meaning of "isoelectronic", many candidates talked about the differing number of electrons and only about 30% could correctly analyse the situation in terms of nuclear charge.
The question was marked quite leniently so that the majority of candidates gained at least one of the marks by mentioning a subatomic particle. A significant number read "indivisible" as "invisible" however.
About a quarter of the students gained full marks and probably a similar number gained no marks. Metallic bonding was the type that seemed least easily recognised and least easily described. Another common error was to explain ionic bonding in terms of attraction of ions rather than describing electron transfer.
Lithium reacts with water to form an alkaline solution.
A 0.200 g piece of lithium was placed in 500.0 cm3 of water.
Determine the coefficients that balance the equation for the reaction of lithium with water.
Calculate the molar concentration of the resulting solution of lithium hydroxide.
Calculate the volume of hydrogen gas produced, in cm3, if the temperature was 22.5 °C and the pressure was 103 kPa. Use sections 1 and 2 of the data booklet.
Suggest a reason why the volume of hydrogen gas collected was smaller than predicted.
The reaction of lithium with water is a redox reaction. Identify the oxidizing agent in the reaction giving a reason.
Describe two observations that indicate the reaction of lithium with water is exothermic.
Markscheme
2 Li (s) + 2 H2O (l) → 2 LiOH (aq) + H2 (g) ✔
✔
«nLiOH = nLi»
✔
Award [2] for correct final answer.
✔
✔
Award [2] for correct final answer.
Accept answers in the range 334 – 344 cm3.
Award [1 max] for 0.343 «cm3/dm3/m3».
Award [1 max] for 26.1 cm3 obtained by using 22.5 K.
Award [1 max] for 687 cm3 obtained by using 0.0288 mol.
lithium was impure/«partially» oxidized
OR
gas leaked/ignited ✔
Accept “gas dissolved”.
H2O AND hydrogen gains electrons «to form H2»
OR
H2O AND H oxidation state changed from +1 to 0 ✔
Accept “H2O AND H/H2O is reduced”.
Any two:
temperature of the water increases ✔
lithium melts ✔
pop sound is heard ✔
Accept “lithium/hydrogen catches fire”.
Do not accept “smoke is observed”.
Examiners report
This part-question was better answered than part (ii). 50% of the candidates drew a correct arrow between n=2 and n=3. Both absorption and emission transitions were accepted since the question did not specify which type of spectrum was required. Some teachers commented on this in their feedback. Mistakes often included transitions between higher energy levels.
Sodium thiosulfate solution reacts with dilute hydrochloric acid to form a precipitate of sulfur at room temperature.
Na2S2O3 (aq) + 2HCl (aq) → S (s) + SO2 (g) + 2NaCl (aq) + X
Identify the formula and state symbol of X.
Suggest why the experiment should be carried out in a fume hood or in a well-ventilated laboratory.
The precipitate of sulfur makes the mixture cloudy, so a mark underneath the reaction mixture becomes invisible with time.
10.0 cm3 of 2.00 mol dm-3 hydrochloric acid was added to a 50.0 cm3 solution of sodium thiosulfate at temperature, T1. Students measured the time taken for the mark to be no longer visible to the naked eye. The experiment was repeated at different concentrations of sodium thiosulfate.
Show that the hydrochloric acid added to the flask in experiment 1 is in excess.
Draw the best fit line of against concentration of sodium thiosulfate on the axes provided.
A student decided to carry out another experiment using 0.075 mol dm-3 solution of sodium thiosulfate under the same conditions. Determine the time taken for the mark to be no longer visible.
An additional experiment was carried out at a higher temperature, T2.
(i) On the same axes, sketch Maxwell–Boltzmann energy distribution curves at the two temperatures T1 and T2, where T2 > T1.
(ii) Explain why a higher temperature causes the rate of reaction to increase.
Suggest one reason why the values of rates of reactions obtained at higher temperatures may be less accurate.
Markscheme
H2O AND (l)
Do not accept H2O (aq).
SO2 (g) is an irritant/causes breathing problems
OR
SO2 (g) is poisonous/toxic
Accept SO2 (g) is acidic, but do not accept “causes acid rain”.
Accept SO2 (g) is harmful.
Accept SO2 (g) has a foul/pungent smell.
n(HCl) = «dm3 × 2.00 mol dm-3 =» 0.0200 / 2.00 × 10-2«mol»
AND
n(Na2S2O3) = «dm3 × 0.150 mol × dm-3 =» 0.00750 / 7.50 × 10-3 «mol»
0.0200 «mol» > 0.0150 «mol»
OR
2.00 × 10-2«mol» > 2 × 7.50 × 10-3 «mol»
OR
× 2.00 × 10-2 «mol» > 7.50 × 10-3 «mol»
Accept answers based on volume of solutions required for complete reaction.
Award [2] for second marking point.
Do not award M2 unless factor of 2 (or half) is used.
five points plotted correctly
best fit line drawn with ruler, going through the origin
22.5 × 10-3 «s-1»
«Time = =» 44.4 «s»
Award [2] for correct final answer.
Accept value based on candidate’s graph.
Award M2 as ECF from M1.
Award [1 max] for methods involving taking mean of appropriate pairs of values.
Award [0] for taking mean of pairs of time values.
Award [2] for answers between 42.4 and 46.4 «s».
(i)
correctly labelled axes
peak of T2 curve lower AND to the right of T1 curve
Accept “probability «density» / number of particles / N / fraction” on y-axis.
Accept “kinetic E/KE/EK” but not just “Energy/E” on x-axis.
(ii)
greater proportion of molecules have E ≥ Ea or E > Ea
OR
greater area under curve to the right of the Ea
greater frequency of collisions «between molecules»
OR
more collisions per unit time/second
Accept more molecules have energy greater than Ea.
Do not accept just “particles have greater kinetic energy”.
Accept “rate/chance/probability/likelihood/” instead of “frequency”.
Accept suitably shaded/annotated diagram.
Do not accept just “more collisions”.
shorter reaction time so larger «%» error in timing/seeing when mark disappears
Accept cooling of reaction mixture during course of reaction.
Examiners report
The Bombardier beetle sprays a mixture of hydroquinone and hydrogen peroxide to fight off predators. The reaction equation to produce the spray can be written as:
| C6H4(OH)2(aq) + H2O2(aq) | → | C6H4O2(aq) + 2H2O(l) |
| hydroquinone | quinone |
Calculate the enthalpy change, in kJ, for the spray reaction, using the data below.
The energy released by the reaction of one mole of hydrogen peroxide with hydroquinone is used to heat 850 cm3 of water initially at 21.8°C. Determine the highest temperature reached by the water.
Specific heat capacity of water = 4.18 kJkg−1K−1.
(If you did not obtain an answer to part (i), use a value of 200.0 kJ for the energy released, although this is not the correct answer.)
Identify the species responsible for the peak at m/z = 110 in the mass spectrum of hydroquinone.
Identify the highest m/z value in the mass spectrum of quinone.
Markscheme
ΔH = 177.0 – –285.5 «kJ»
«ΔH =» –203.1 «kJ»
Accept other methods for correct manipulation of the three equations.
Award [2] for correct final answer.
[2 marks]
203.1 «kJ» = 0.850 «kg» x 4.18 «kJkg–1K–1» x ΔT «K»
OR
«ΔT =» 57.2 «K»
«Tfinal = (57.2 + 21.8) °C =» 79.0 «°C» / 352.0 «K»
If 200.0 kJ was used:
200.0 «kJ» = 0.850 «kg» x 4.18 «kJkg–1K–1» x ΔT «K»
OR
«ΔT =» 56.3 «K»
«Tfinal = (56.3 + 21.8) °C =» 78.1 «°C» / 351.1 «K»
Award [2] for correct final answer.
Units, if specified, must be consistent with the value stated.
[2 marks]
C6H4(OH)2+
Accept “molecular ion”.
Do not accept “C6H4(OH)2” (positive charge missing).
[1 mark]
«highest m/z» 108
Only accept exactly 108, not values close to this.
[1 mark]
Examiners report
Carbon forms many compounds.
C60 and diamond are allotropes of carbon.
But-2-ene reacts with hydrogen bromide.
Chlorine reacts with methane.
CH4 (g) + Cl2 (g) → CH3Cl (g) + HCl (g)
Outline one difference between the bonding of carbon atoms in C60 and diamond.
State two features showing that propane and butane are members of the same homologous series.
Describe a test and the expected result to indicate the presence of carbon–carbon double bonds.
Draw the full structural formula of but-2-ene.
Write the equation for the reaction between but-2-ene and hydrogen bromide.
State the type of reaction.
Suggest two differences in the 1H NMR of but-2-ene and the organic product from (d)(ii).
Calculate the enthalpy change of the reaction, ΔH, using section 11 of the data booklet.
Draw and label an enthalpy level diagram for this reaction.
Markscheme
C60 fullerene: «each carbon is» bonded to 3 C AND diamond: bonded to 4 C
OR
C60 fullerene: delocalized/resonance AND diamond: not delocalized/no resonance
OR
C60 fullerene: single and double bonds AND diamond: single bonds ✔
Accept “C60 fullerene: sp2 AND diamond: sp3”.
Accept “C60 fullerene: trigonal planar geometry / bond angles between 109.5°/109°/108°–120° AND diamond: tetrahedral geometry / bond angle 109.5°/109°”.
Accept "bonds in fullerene are shorter/stronger/have higher bond order".
same general formula / CnH2n+2 ✔
differ by CH2/common structural unit ✔
Accept "similar chemical properties".
Accept “gradation/gradual change in physical properties”.
ALTERNATIVE 1:
Test:
add bromine «water»/Br2 (aq) ✔
Result:
«orange/brown/yellow» to colourless/decolourised ✔
Do not accept “clear” for M2.
ALTERNATIVE 2:
Test:
add «acidified» KMnO4 ✔
Result:
«purple» to colourless/decolourised/brown ✔
Accept “colour change” for M2.
ALTERNATIVE 3:
Test:
add iodine / ✔
Result:
«brown» to colourless/decolourised ✔
Accept
CH3CH=CHCH3 (g) + HBr (g) → CH3CH2CHBrCH3 (l)
OR
C4H8 (g) + HBr (g) → C4H9Br (l) ✔
«electrophilic» addition/EA ✔
Do not accept nucleophilic or free radical addition.
ALTERNATIVE 1: Any two of:
but-2-ene: 2 signals AND product: 4 signals ✔
but-2-ene: «area ratio» 3:1/6:2 AND product: «area ratio» 3:3:2:1 ✔
product: «has signal at» 3.5-4.4 ppm «and but-2-ene: does not» ✔
but-2-ene: «has signal at» 4.5-6.0 ppm «and product: does not» ✔
ALTERNATIVE 2:
but-2-ene: doublet AND quartet/multiplet/4 ✔
product: doublet AND triplet AND quintet/5/multiplet AND sextet/6/multiplet ✔
Accept “product «has signal at» 1.3–1.4 ppm «and but-2-ene: does not»”.
bond breaking: C–H + Cl–Cl / 414 «kJ mol–1» + 242 «kJ mol–1»/656 «kJ»
OR
bond breaking: 4C–H + Cl–Cl / 4 × 414 «kJ mol–1» + 242 «kJ mol–1» / 1898 «kJ» ✔
bond forming: «C–Cl + H–Cl / 324 kJ mol–1 + 431 kJ mol–1» / 755 «kJ»
OR
bond forming: «3C–H + C–Cl + H–Cl / 3 × 414 «kJ mol–1» + 324 «kJ mol–1» + 431 kJ mol–1» / 1997 «kJ» ✔
«ΔH = bond breaking – bond forming = 656 kJ – 755 kJ» = –99 «kJ» ✔
Award [3] for correct final answer.
Award [2 max] for 99 «kJ».
reactants at higher enthalpy than products ✔
ΔH/-99 «kJ» labelled on arrow from reactants to products
OR
activation energy/Ea labelled on arrow from reactant to top of energy profile ✔
Accept a double headed arrow between reactants and products labelled as ΔH for M2.
Examiners report
This was a challenging question that asked about the difference between the bonding of carbon atoms in C60 and diamond. 20% of the candidates gained the mark. The majority of the candidates did not have a specific enough answer for C60 and mentioned the pentagons and hexagons but not the number of bonds or the geometry or the bond order or the electron delocalisation. Diamond was better known to candidates as expected.
About two-thirds of the candidates scored one of the two marks and stronger candidates scored both. The most common answers were the same general formula/CnH2n+2, the difference between the compounds was CH2 and similar chemical properties. The same functional group was not accepted since alkanes do not have a functional group. Some candidates only stated that they are saturated hydrocarbons not gaining any marks.
About half of the candidates gave the bromine water test with the correct results. Iodine and KMnO4 were rarely seen in the scripts. There were candidates who used the term “clear” to mean “colourless” which was not accepted. Some candidates referred to the presence of UV light in a correct way and others in an incorrect way which was not penalized in this case. 10% of the candidates left the question blank. The most common incorrect answer was in terms of the IR absorptions. Other candidates referred to enthalpies of combustion and formation.
A well answered question. 70% of the candidates gave the correct structural formula for but-2-ene. Mistakes included too many hydrogens in the structure and an incorrect position of the C=C. Candidates should be reminded that the full structural formula requires all covalent bonds to be shown.
Half of the candidates wrote the correct equation for the reaction of but-2-ene with hydrogen bromide. Incorrect answers included hydrogen as a product. As expected, the question correlated well with highly achieving candidates.
Well answered. 60% of candidates identified the type of reaction between but-2-ene and HBr, some of them including the term “electrophilic”. ECF was generously awarded when substitution was stated based on the equation where H2 was produced in part (ii). Candidates lost the mark if they only stated “hydrobromination” without mentioning addition. Some candidates lost the mark for stating “nucleophilic” or “free radical” addition.
The comparison of the 1H NMR spectra of the two organic compounds was more challenging and 10% of the candidates left this question blank. The average mark was 0.7 out of 2 marks. Mistakes included non-specific answers that just stated “more signals” or “higher chemical shift”, and stating 3 signals in 2-bromobutane instead of 4 signals. Standard level candidates were expected to use the number of signals and the ratio of the areas under the signals to answer the question since they do not cover chemical shift, however, many of them did use the 1H NMR section in the data booklet to obtain correct answers in terms of chemical shift.
This was the best answered question on the paper. Candidates identified the bonds and used bond enthalpies to calculate the enthalpy of reaction accurately. The most common mistakes were reversing the signs of bonds broken and bonds formed, assuming two Cl-Cl bonds were broken and using an incorrect value of bond enthalpy for one of the bonds.
The majority of candidates drew the enthalpy level diagram and labelled it correctly based on their answer to part (i). Some candidates reversed the products and reactants. A few candidates did not add any labels which prevented the awarding of the second mark. With 2 marks allocated to the question the second mark was awarded for correct labeling of either ΔH or Ea.
This question is about peroxides.
Hydrogen peroxide decomposes to water and oxygen when a catalyst such as potassium iodide, KI, is added.
2H2O2 (aq) O2 (g) + 2H2O (l)
Suggest why many chemicals, including hydrogen peroxide, are kept in brown bottles instead of clear colourless bottles.
In a laboratory experiment solutions of potassium iodide and hydrogen peroxide were mixed and the volume of oxygen generated was recorded. The volume was adjusted to 0 at t = 0.
The data for the first trial is given below.
Plot a graph on the axes below and from it determine the average rate of formation of oxygen gas in cm3 O2 (g) s−1.
Average rate of reaction:
Additional experiments were carried out at an elevated temperature. On the axes below, sketch Maxwell–Boltzmann energy distribution curves at two temperatures T1 and T2, where T2 > T1.
Apart from a greater frequency of collisions, explain, by annotating your graphs in (b)(ii), why an increased temperature causes the rate of reaction to increase.
MnO2 is another possible catalyst for the reaction. State the IUPAC name for MnO2.
Comment on why peracetic acid, CH3COOOH, is always sold in solution with ethanoic acid and hydrogen peroxide.
H2O2 (aq) + CH3COOH (aq) CH3COOOH (aq) + H2O (l)
Sodium percarbonate, 2Na2CO3•3H2O2, is an adduct of sodium carbonate and hydrogen peroxide and is used as a cleaning agent.
Mr (2Na2CO3•3H2O2) = 314.04
Calculate the percentage by mass of hydrogen peroxide in sodium percarbonate, giving your answer to two decimal places.
Markscheme
decomposes in light [✔]
Note: Accept “sensitive to light”.
points correctly plotted [✔]
best fit line AND extended through (to) the origin [✔]
Average rate of reaction:
«slope (gradient) of line =» 0.022 «cm3 O2 (g) s−1» [✔]
Note: Accept range 0.020–0.024cm3 O2 (g) s−1.
peak of T2 to right of AND lower than T1 [✔]
lines begin at origin AND T2 must finish above T1 [✔]
Ea marked on graph [✔]
explanation in terms of more “particles” with E ≥ Ea
OR
greater area under curve to the right of Ea in T2 [✔]
manganese(IV) oxide
OR
manganese dioxide [✔]
Note: Accept “manganese(IV) dioxide”.
move «position of» equilibrium to right/products [✔]
Note: Accept “reactants are always present as the reaction is in equilibrium”.
M (H2O2) «= 2 × 1.01 + 2 × 16.00» = 34.02 «g» [✔]
«% H2O2 = 3 × × 100 =» 32.50 «%» [✔]
Note: Award [2] for correct final answer.
Examiners report
The explanation that the brown bottle prevented light causing a decomposition of the chemical was well answered but some incorrectly suggested it helped to stop mixing up of chemicals e.g. acid/water/peroxide.
The graphing was disappointing with a surprising number of students missing at least one mark for failing to draw a straight line or for failing to draw the line passing through the origin. Also some were unable to calculate the gradient.
The drawing of the two curves at T1 and T2 was generally poorly done.
Explaining why temperature increase caused an increase in reaction rate was generally incorrectly answered with most students failing to mention “activation energy” in their answer or failing to annotate the graph.
Many could correctly name manganese(IV)oxide, but there were answers of magnesium(IV) oxide or manganese(II) oxide.
Suggesting why peractic acid was sold in solution was very poorly answered and only a few students mentioned equilibrium and, if they did, they thought it would move to the left to restore equilibrium.
Calculating the % by mass was generally well answered although some candidates started by using rounded values of atomic masses which made their final answer unprecise.
Xylene is a derivative of benzene. One isomer is 1,4-dimethylbenzene.
Bromine reacts with alkanes.
State the number of 1H NMR signals for this isomer of xylene and the ratio in which they appear.
Number of signals:
Ratio:
Draw the structure of one other isomer of xylene which retains the benzene ring.
Identify the initiation step of the reaction and its conditions.
1,4-dimethylbenzene reacts as a substituted alkane. Draw the structures of the two products of the overall reaction when one molecule of bromine reacts with one molecule of 1,4-dimethylbenzene.
Markscheme
Number of signals:
2 [✔]
Ratio:
3 : 2
OR
6 : 4 [✔]
Note: Accept any correct integer or fractional ratio.
Accept ratios in reverse order.
[✔]
Br2 → 2Br• [✔]
«sun»light/UV/hv
OR
high temperature [✔]
Note: Do not penalize missing radical symbol on Br.
Accept “homolytic fission of bromine” for M1.
[✔]
HBr [✔]
Note: Accept condensed formulae, such as CH3C6H4CH2Br.
Accept skeletal structures.
Examiners report
Most students gained M1 but very few gained M2, suggesting that the correct answer of 2 signals may have been a guess.
Another isomer of xylene was generally correctly drawn, but some candidates drew the original compound.
Drawing or describing the homolytic fission of bromine was generally done well.
Very few students gained 2 marks finding hard to apply their knowledge of free radical substitution to a benzene containing compound. Many thought that the bromine will attach to the benzene ring or would substitute the alkyl group twice and not produce HBr.
The biochemical oxygen demand of a water sample can be determined by the following series of reactions. The final step is titration of the sample with sodium thiosulfate solution, Na2S2O3 (aq).
2Mn2+ (aq) + O2 (aq) + 4OH− (aq) → 2MnO2 (s) + 2H2O (l)
MnO2 (s) + 2I− (aq) + 4H+ (aq) → Mn2+ (aq) + I2 (aq) + 2H2O (l)
2S2O32− (aq) + I2 (aq) → 2I− (aq) + S4O62− (aq)
A student analysed two 300.0 cm3 samples of water taken from the school pond: one immediately (day 0), and the other after leaving it sealed in a dark cupboard for five days (day 5). The following results were obtained for the titration of the samples with 0.0100 mol dm−3 Na2S2O3 (aq).
Determine the mole ratio of S2O32− to O2, using the balanced equations.
Calculate the number of moles of oxygen in the day 0 sample.
The day 5 sample contained 5.03 × 10−5 moles of oxygen.
Determine the 5-day biochemical oxygen demand of the pond, in mg dm−3 (“parts per million”, ppm).
Calculate the percentage uncertainty of the day 5 titre.
Suggest a modification to the procedure that would make the results more reliable.
Markscheme
4 : 1 ✔
✔
« ✔
NOTE: Award [2] for correct final answer.
«difference in moles per dm3 = (6.45 × 10−5 − 5.03 × 10−5) × =»
4.73 × 10−5 «mol dm−3» ✔
«convert to mg per dm3: 4.73 × 10−5 mol dm−3 × 32.00 g mol−1 × 1000 mg g–1 = » 1.51 «ppm/mg dm−3» ✔
NOTE: Award [2] for correct final answer.
« «%»✔
repetition / take several samples «and average» ✔
Examiners report
The thermal decomposition of dinitrogen monoxide occurs according to the equation:
2N2O (g) → 2N2 (g) + O2 (g)
The reaction can be followed by measuring the change in total pressure, at constant temperature, with time.
The x-axis and y-axis are shown with arbitrary units.
Explain why, as the reaction proceeds, the pressure increases by the amount shown.
Outline, in terms of collision theory, how a decrease in pressure would affect the rate of reaction.
The experiment is repeated using the same amount of dinitrogen monoxide in the same apparatus, but at a lower temperature.
Sketch, on the axes in question 2, the graph that you would expect.
The experiment gave an error in the rate because the pressure gauge was inaccurate. Outline whether repeating the experiment, using the same apparatus, and averaging the results would reduce the error.
The graph below shows the Maxwell–Boltzmann distribution of molecular energies at a particular temperature.
The rate at which dinitrogen monoxide decomposes is significantly increased by a metal oxide catalyst.
Annotate and use the graph to outline why a catalyst has this effect.
Markscheme
increase in the amount/number of moles/molecules «of gas» [✔]
from 2 to 3/by 50 % [✔]
«rate of reaction decreases»
concentration/number of molecules in a given volume decreases
OR
more space between molecules [✔]
collision rate/frequency decreases
OR
fewer collisions per second/unit time [✔]
Note: Do not accept just “larger space/volume” for M1.
smaller initial gradient [✔]
initial pressure is lower AND final pressure of gas lower «by similar factor» [✔]
no AND it is a systematic error/not a random error
OR
no AND «a similar magnitude» error would occur every time [✔]
catalysed and uncatalysed Ea marked on graph AND with the catalysed being at lower energy [✔]
«for catalysed reaction» greater proportion of/more molecules have E ≥ Ea / E > Ea
OR
«for catalysed reaction» greater area under curve to the right of the Ea [✔]
Note: Accept “more molecules have the activation energy”.
Examiners report
About a quarter of the candidates gave the full answer. Some only gained the first marking point (M1) by recognizing the increase in the number of moles of gas. Some candidates wrote vague answers that did not receive credit such as “pressure increases as more gaseous products form” without explicitly recognizing that the reactants have fewer moles of gas than the products. Some candidates mistook it for a system at equilibrium when the pressure stops changing (although a straight arrow is shown in the equation). A teacher commented that the wording of the question was rather vague “not clear if question is asking about stoichiometry (i.e. how 200 & 300 connect to coefficients) or rates (i.e. explain graph shape)”. We did not see a discussion of the slope of the graph with time and most candidates understood the question as it was intended.
More than half of the candidates obtained the mark allocated for “less frequent collisions” at lower pressure, but only strong candidates explained that this was due to the lower concentration or increased spacing between molecules. Some candidates talked about a decrease in kinetic energy and they did not show a good understanding of collision theory. Some candidates lost M1 for stating “fewer collisions” without reference to time or probability.
This was a challenging question. Candidates usually obtained only one of the two marks allocated for the answer. Most of them scored the mark for a lower initial slope at low temperature, while others scored a mark for sketching their curve below the original curve as all pressures (initial and final) will be lower at the lower temperature. A teacher commented that the wording was unclear “sketch on the axes in question 2”, and it would have been better to label the graph instead.
This question was well answered by nearly 70 % of the candidates reflecting a good understanding of the impact of systematic errors. Some students did not gain the mark because of an incomplete answer. The question raised much debate among teachers. They worried if the error was clearly a systematic one. However, a high proportion of candidates had very clear and definite answers. In Spanish and French, the wording was a bit ambiguous which caused the markscheme in these languages to be more opened.
This question discriminated very well between high-scoring and low-scoring candidates. About half of the candidates annotated the Maxwell-Boltzmann distribution to show the effect of the catalyst. Some left it blank and some sketched a new distribution that would be obtained at a higher temperature instead. The majority of candidates knew that the catalyst provided an alternative route with lower Ea but only stronger candidates related it to the annotation of the graph and used the accurate language needed to score M2. A common mistake was stating that molecules have higher kinetic energy when a catalyst is added.
Biochemical oxygen demand (BOD) can be determined by the Winkler Method.
A 25.00 cm3 sample of water was treated according to the Winkler Method.
Step I: 2Mn2+ (aq) + O2 (g) + 4OH− (aq) → 2MnO2 (s) + 2H2O (l)
Step II: MnO2 (s) + 2I− (aq) + 4H+ (aq) → Mn2+ (aq) + I2 (aq) + 2H2O (l)
Step III: 2S2O32− (aq) + I2 (aq) → 2I− (aq) + S4O62− (aq)
The iodine produced was titrated with 37.50 cm3 of 5.000 × 10−4 mol dm−3 Na2S2O3.
Outline what is measured by BOD.
A student dissolved 0.1240 ± 0.0001 g of Na2S2O3 to make 1000.0 ± 0.4 cm3 of solution to use in the Winkler Method.
Determine the percentage uncertainty in the molar concentration.
Calculate the amount, in moles of Na2S2O3 used in the titration.
Deduce the mole ratio of O2 consumed in step I to S2O32− used in step III.
Calculate the concentration of dissolved oxygen, in mol dm−3, in the sample.
The three steps of the Winkler Method are redox reactions.
Deduce the reduction half-equation for step II.
Markscheme
«amount of» oxygen used to decompose the organic matter in water ✔
«» 0.08 «%»
OR
«» 0.04 «%» ✔
«0.08 % + 0.04 % =» 0.12/0.1 «%» ✔
Award [2] for correct final answer.
Accept fractional uncertainties for M1, i.e., 0.0008 OR 0.0004.
«× 5.000 × 10−4 mol dm−3 =» 1.875 × 10−5 «mol» ✔
1:4 ✔
Accept “4 mol S2O32– :1 mol O2“, but not just 4:1.
«» 4.688 × 10−6 «mol» ✔
«» 1.875 × 10−4 «mol dm−3» ✔
Award [2] for correct final answer.
MnO2 (s) + 2e− + 4H+ (aq) → Mn2+ (aq) + 2H2O (l) ✔
Examiners report
When dinitrogen pentoxide, N2O5, is heated the colourless gas undergoes thermal decomposition to produce brown nitrogen dioxide:
N2O5 (g) → 2NO2 (g) + O2 (g)
Data for the decomposition at constant temperature is given.
Suggest how the extent of decomposition could be measured.
Plot the missing point on the graph and draw the best-fit line.
Deduce the relationship between the concentration of N2O5 and the rate of reaction.
Outline why increasing the concentration of N2O5 increases the rate of reaction.
Markscheme
use colorimeter
OR
change in colour
OR
change in volume
OR
change in pressure ✔
Accept suitable instruments, e.g. pressure probe/oxygen sensor.
point correct ✔
straight line passing close to all points AND through origin ✔
Accept free hand drawn line as long as attempt to be linear and meets criteria for M2.
« rate of reaction is directly» proportional to/∝[N2O5]
OR
doubling concentration doubles rate ✔
Do not accept “rate increases as concentration increases”/ positive correlation
Accept linear
greater frequency of collisions «as concentration increases»
OR
more collisions per unit time «as concentration increases» ✔
Accept “rate/chance/probability/likelihood” instead of “frequency”.
Do not accept just “more collisions”.
Examiners report
Ethyne, C2H2, reacts with oxygen in welding torches.
Ethyne reacts with steam.
C2H2 (g) + H2O (g) → C2H4O (g)
Two possible products are:
Product B, CH3CHO, can also be synthesized from ethanol.
Write an equation for the complete combustion of ethyne.
Deduce the Lewis (electron dot) structure of ethyne.
Compare, giving a reason, the length of the bond between the carbon atoms in ethyne with that in ethane, C2H6.
Identify the type of interaction that must be overcome when liquid ethyne vaporizes.
Product A contains a carbon–carbon double bond. State the type of reactions that compounds containing this bond are likely to undergo.
State the name of product B, applying IUPAC rules.
Determine the enthalpy change for the reaction, in kJ, to produce A using section 11 of the data booklet.
The enthalpy change for the reaction to produce B is −213 kJ. Predict, giving a reason, which product is the most stable.
The IR spectrum and low resolution 1H NMR spectrum of the actual product formed are shown.
Deduce whether the product is A or B, using evidence from these spectra together with sections 26 and 27 of the data booklet.
Identity of product:
One piece of evidence from IR:
One piece of evidence from 1H NMR:
Suggest the reagents and conditions required to ensure a good yield of product B.
Reagents:
Conditions:
Deduce the average oxidation state of carbon in product B.
Explain why product B is water soluble.
Markscheme
C2H2 (g) + 2.5O2 (g) → 2CO2 (g) + H2O (l)
OR
2C2H2 (g) + 5O2 (g) → 4CO2 (g) + 2H2O (l) [✔]
[✔]
Note: Accept any valid combination of lines, dots and crosses.
«ethyne» shorter AND a greater number of shared/bonding electrons
OR
«ethyne» shorter AND stronger bond [✔]
London/dispersion/instantaneous dipole-induced dipole forces [✔]
Note: Do not accept just “intermolecular forces” or “van der Waals’ forces”.
«electrophilic» addition/A«E» [✔]
Note: Accept “polymerization”.
ethanal [✔]
«sum of bond enthalpies of reactants =» 2(C–H) + C≡C + 2(O–H)
OR
2 × 414 «kJ mol–1» + 839 «kJ mol–1» + 2 × 463 «kJ mol–1»
OR
2593 «kJ» [✔]
«sum of bond enthalpies of A =» 3(C–H) + C=C + C–O + O–H
OR
3 × 414 «kJ mol–1» + 614 «kJ mol–1» + 358 «kJ mol–1» + 463 «kJ mol–1»
OR
2677 «kJ» [✔]
«enthalpy of reaction = 2593 kJ – 2677 kJ» = –84 «kJ» [✔]
Note: Award [3] for correct final answer.
B AND it has a more negative/lower enthalpy/«potential» energy
OR
B AND more exothermic «enthalpy of reaction from same starting point» [✔]
Identity of product: «B»
IR spectrum:
1700–1750 «cm–1 band» AND carbonyl/CO group present
OR
no «band at» 1620–1680 «cm–1» AND absence of double bond/C=C
OR
no «broad band at» 3200–3600 «cm–1» AND absence of hydroxyl/OH group [✔]
Note: Accept a specific value or range of wavenumbers and chemical shifts.
1H NMR spectrum:
«only» two signals AND A would have three
OR
«signal at» 9.4–10.0 «ppm» AND «H atom/proton of» aldehyde/–CHO present
OR
«signal at» 2.2–2.7 «ppm» AND «H atom/proton of alkyl/CH next to» aldehyde/CHO present
OR
«signal at» 2.2–2.7 «ppm» AND «H atom/proton of» RCOCH2- present
OR
no «signal at» 4.5–6.0 «ppm» AND absence of «H-atom/proton next to» double bond/C=C [✔]
Note: Accept “two signals with areas 1:3”.
Reagents:
acidified/H+ AND «potassium» dichromate«(VI)»/K2Cr2O7/Cr2O72– [✔]
Conditions:
distil «the product before further oxidation» [✔]
Note: Accept “«acidified potassium» manganate(VII)/KMnO4/MnO4–/permanganate”.
Accept “H2SO4” or “H3PO4” for “H+”.
Accept “more dilute dichromate(VI)/manganate(VII)” or “excess ethanol”.
Award M1 if correct reagents given under “Conditions”.
–1 [✔]
Any three of:
has an oxygen/O atom with a lone pair [✔]
that can form hydrogen bonds/H-bonds «with water molecules» [✔]
hydrocarbon chain is short «so does not disrupt many H-bonds with water molecules» [✔]
«large permanent» dipole-dipole interactions with water [✔]
Examiners report
Almost all candidates recognized the products of the complete combustion of ethyne, and over two thirds managed to balance the equation. It was good to see candidates using integers for the balancing.
The majority of candidates drew the Lewis structure of ethyne. A few teachers commented that they did not cover alkynes assuming they are not included in the syllabus. Please check the current syllabus carefully when preparing students.
A very well answered question. The vast majority of candidates understood that triple bonds are stronger than single bonds and result in a shorter bond length. It was disappointing, however, to see a considerable number of candidates stating that ethane has a double bond.
Some candidates could not relate evaporation of a liquid to the breaking of its intermolecular forces and gave irrelevant answers such as “evaporation”. Other candidates gave general answers such as “the intermolecular forces” or used the term “van der Waals’ forces” which did not gain credit as too vague. The current guide is clear that “London/dispersion forces” is the appropriate term to use for instantaneous dipole-induced dipole forces. Less than 40 % of the candidates scored the mark. It was disappointing to see some candidates state “covalent bonding” as the type of interaction that must be overcome when liquid ethyne vaporizes. Some teachers thought the wording of the question may have been vague and candidates may have been confused about what was meant by the “type of interaction”.
About 60 % of the candidates stated “addition” as the type of reactions that compounds containing carbon-carbon double bonds underwent. It was disappointing to see a variety of answers including substitution, condensation and combustion showing a total lack of understanding. Some candidates gave specific types such as "bromination" or “hydration” which did not receive the mark.
60 % of the candidates were able to name compound B as ethanal. Some candidates did not recognize it as an aldehyde and gave names related to carboxylic acids or other homologous series. Other candidates called it methanal.
Candidates were confident in using average bond enthalpies for calculating the enthalpy change for the reaction. Mistakes included forgetting to include the breaking of the O-H bonds in water and reversing the signs.
Reasonably well answered. About half of the candidates showed understanding of the relation between stability and the enthalpy change from the same starting materials. ECF was applied in this question based on the answer in part (iii).
The majority of candidates handled this question competently and nearly half of the candidates obtained both marks. They obtained the value of the absorption from the spectra provided and compared it to the values in the data booklet to deduce the identity of the product. Common mistakes included not identifying the peaks and signals precisely (for example C=O instead of CHO for 1H NMR signal at 9.4-10.0 ppm). Some teachers commented that the TMS signal should not have been included as the SL do not know about it. Other teachers commented that using the 'actual' rather than an ‘idealized’ IR spectrum may have caused confusion due to the peak at around 3400 cm-1 which could be confused for O-H in alcohols. Thankfully both of these answers were hardly seen in the scripts. The peak at 3400 cm-1 was not at all broad and did not confuse the majority of students. Please note that real spectra are usually used in examination papers, and it is worth encouraging students to check more than one peak to confirm their deductions.
Surprisingly, this question was not answered well by the majority of the candidates. However, it did discriminate well between high-scoring and low-scoring candidates. Common mistakes included incorrect formulas (such as K2CrO7), missing the acidic conditions and stating “reflux” instead of “distillation”. Many candidates gave completely irrelevant reagents and conditions such as “oxygen, pressure and a nickel catalyst”. It is possible that some candidates did not think of “distillation” as a “condition”.
About 60 % of the candidates determined the average oxidation state of carbon in ethanal. A couple of teachers commented that asking SL students to determine an “average oxidation state” seems a little difficult. Please note that this term has been used in recent papers whenever there are two or more atoms of the element in different parts of the compound. There was no evidence of confusion on the part of the candidates and most answered the question well.
This was a challenging question with a demanding markscheme. Most students missed the fact that ethanal can form hydrogen bonds with water. And students who did state this often achieved only 1 out of the 3 marks because they did not offer a full explanation. Some candidates stating "hydrogen bonding" showed confusion by mentioning the hydrogen of the aldehyde group. Few identified the lone pairs on oxygen as the reason for the ability to hydrogen bond. Most candidates just stated that ethanal is polar and dissolves in polar water achieving no marks. However, one mark was awarded for “dipole-dipole interactions with water”.
Compound A is in equilibrium with compound B.
Predict the electron domain and molecular geometries around the oxygen atom of molecule A using VSEPR.
The IR spectrum of one of the compounds is shown:
COBLENTZ SOCIETY. Collection © 2018 copyright by the U.S. Secretary of Commerce on behalf of the United States of America. All rights reserved.
Deduce, giving a reason, the compound producing this spectrum.
Compound A and B are isomers. Draw two other structural isomers with the formula .
The equilibrium constant, , for the conversion of A to B is in water at .
Deduce, giving a reason, which compound, A or B, is present in greater concentration when equilibrium is reached.
Markscheme
Electron domain geometry: tetrahedral ✔
Molecular geometry: bent/V-shaped ✔
B AND absorption/
OR
B AND absence of ✔
Accept any value between .
Accept any two isomers except for propanone and propen-2-ol:
✔✔
Penalize missing hydrogens in displayed structural formulas once only.
AND is greater than /large ✔
Examiners report
Half of the candidates answered correctly. The rest of the candidates often answered the question in terms of the carbon atom indicating that they did not read the question carefully.
About 50% of the candidates answered correctly. Quite a few, however, gave compounds other than A or B, indicating not reading the question properly or being confused by the skeletal formulas given in the question.
Nearly half of the candidates gave two correct isomers. Propanal was often given as one of the isomers. Some candidates repeated the compounds given in the question and a few gave structures with 5 bonds on a carbon atom.
Half of the candidates answered correctly. A common mistake was K > 0 instead of K > 1.
An acidic sample of a waste solution containing Sn2+(aq) reacted completely with K2Cr2O7 solution to form Sn4+(aq).
State the oxidation half-equation.
Deduce the overall redox equation for the reaction between acidic Sn2+(aq) and Cr2O72–(aq), using section 24 of the data booklet.
Calculate the percentage uncertainty for the mass of K2Cr2O7(s) from the given data.
The sample of K2Cr2O7(s) in (i) was dissolved in distilled water to form 0.100 dm3 solution. Calculate its molar concentration.
10.0 cm3 of the waste sample required 13.24 cm3 of the K2Cr2O7 solution. Calculate the molar concentration of Sn2+(aq) in the waste sample.
Markscheme
Sn2+(aq) → Sn4+(aq) + 2e–
Accept equilibrium sign.
Accept Sn2+(aq) – 2e– → Sn4+(aq).
[1 mark]
Cr2O72–(aq) + 14H+(aq) + 3Sn2+(aq) → 2Cr3+(aq) + 7H2O(l) + 3Sn4+(aq)
Accept equilibrium sign.
[1 mark]
«13.239 g ± 0.002 g so percentage uncertainty» 0.02 «%»
Accept answers given to greater precision, such as 0.0151%.
[1 mark]
« [K2Cr2O7] = =» 0.450 «moldm–3»
[1 mark]
n(Sn2+) = «0.450 moldm–3 x 0.01324 dm3 x =» 0.0179 «mol»
«[Sn2+] = =» 1.79 «moldm–3»
Award [2] for correct final answer.
[2 marks]
Examiners report
A 4.406 g sample of a compound containing only C, H and O was burnt in excess oxygen. 8.802 g of CO2 and 3.604 g of H2O were produced.
The following spectrums show the Infrared spectra of propan-1-ol, propanal and propanoic acid.
NIST Mass Spectrometry Data Center Collection © 2021 copyright by the U.S. Secretary of Commerce on behalf of the United States of America. All rights reserved. Available at: https://webbook.nist.gov/cgi/cbook.cgi?ID=C71238&Units=SI&Type=IRSPEC&Index=3#IR-SPEC [Accessed 6 May 2020]. Source adapted.
NIST Mass Spectrometry Data Center Collection © 2021 copyright by the U.S. Secretary of Commerce on behalf of the United States of America. Available at: https://webbook.nist.gov/cgi/cbook.cgi?ID=C79094&Units=SI&Mask=80#IR-Spec [Accessed 6 May 2020]. Source adapted.
NIST Mass Spectrometry Data Center Collection © 2021 copyright by the U.S. Secretary of Commerce on behalf of the United States of America. Available at: https://webbook.nist.gov/cgi/cbook.cgi?Name=propanal&Units=SI&cIR=on&cTZ=on#IRSpec [Accessed 6 May 2020]. Source adapted.
Determine the empirical formula of the compound using section 6 of the data booklet.
Determine the molecular formula of this compound if its molar mass is 88.12 g mol−1. If you did not obtain an answer in (a) use CS, but this is not the correct answer.
Identify each compound from the spectra given, use absorptions from the range of 1700 cm−1 to 3500 cm−1. Explain the reason for your choice, referring to section 26 of the data booklet.
Markscheme
«» 0.2000 «mol of C/CO2»
AND «» 0.2000 «mol of H2O»/0.4000 «mol of H»
OR
«» 2.402 «g of C»
OR
«» 0.404 «g of H» ✔
«4.406 g − 2.806 g» = 1.600 «g of O» ✔
«»
C2H4O ✔
Award [3] for correct final answer.
«» C4H8O2 ✔
C2S2 if CS used.
Award [1 max] for correctly identifying all 3 compounds without valid reasons given.
Accept specific values of wavenumbers within each range.